聯系我們
咨詢熱線:18637334419
新鄉市國盛機械設備有限公司
地址:新鄉市鳳泉區陳堡工業園區
聯系人:郭經理 18637334419
銷售部:0373-5419909
傳真:0373-5419669
郵箱:helen28888@163.com
篩選機篩選效率的計算及測定方法 |
| 日期:2023-05-19 16:38 |
在使用篩選機時,篩子有兩個重要的工藝指標:一個是處理能力,是表明篩選工作的數量指標。另一個是篩選效率,它是表明篩選工作的質量指標。篩上產品中,未透過篩孔的細級別數量愈多,說明篩選的效果愈差,為了從數量上評定篩選的完全程度,要用篩選效率這個指標。篩選效率的計算方法如下文介紹。
所謂篩選效率,是指實際得到的篩下產物重量與入篩物料中所含粒度小于篩孔尺寸的物料的重量之比。篩選效率用百分數或小數表示。
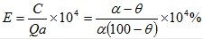
①,式中E是篩選效率(%),C是篩下產品重量,Q是入篩原物料重量,α是入篩原物料中小于篩孔的級別的含量(%)。但實際生產中要測定C和Q是比較困難的,因此必須改用下面推導出的結果來進行計算: ②。必須指出,上式是指篩下產物中不含有大于篩孔尺寸的顆粒的條件下列出的物料平衡方程式,由于實際生產中,篩網常常被磨損,部分大于篩孔尺寸的顆粒總會或多或少的透過篩孔進入篩下產物,如果考慮這種情況,篩選效率應按下式計算: ③,式中β是篩下產物中所含小于篩孔級別的含量(%),θ是篩上產物中所含小于篩孔尺寸粒級的含量(%),α是入篩原物料中小于篩孔的級別的含量(%)。
篩選效率的測定方法如下:在入篩的物料流中和篩上物料流中每隔15-20分鐘取一次樣,應連續取樣2-4小時,將取得的平均試樣在檢查篩里篩選,檢查篩的篩孔與生產上用的篩子的篩孔相同。分別求出原料和篩上產品中小于篩孔尺寸的級別的百分含量α和θ,代入公式②中可求出篩選效率。如果沒有與所測定的篩子的篩孔尺寸相等的檢查篩子時,可以用套篩作篩選分析,將其結果繪成篩析曲線,然后由篩析曲線圖中求出該級別的百分含量α和θ。
|
相關文章 |
| 如何提高搖擺篩選機篩選效率 |
| 你對礦漿篩選機了解多少 |
| 搖擺篩粉機有哪幾種類型 |
| 菜籽除雜機篩選效果如何 |
| 河南新鄉糧食篩選機 |
| 沙石震動篩分機質量 |


①,式中E是篩選效率(%),C是篩下產品重量,Q是入篩原物料重量,α是入篩原物料中小于篩孔的級別的含量(%)。.jpg)
③,式中β是篩下產物中所含小于篩孔級別的含量(%),θ是篩上產物中所含小于篩孔尺寸粒級的含量(%),α是入篩原物料中小于篩孔的級別的含量(%)。